事例s1の振動解析(2個の深溝玉軸受のスパン中央部を加振した時の系の応答)
事例s1では、直径25mmの丸棒を、2個の内部スキマ0の深溝玉軸受がスパン 200mm で支持しており、スパン中央部にラジアル荷重が作用していました。ここでは事例1の静的な負荷状態において、荷重負荷点に単位ラジアル加振荷重(1N)が負荷された時の系の挙動を求めます(図1参照)。

図1 2個の深溝玉軸受と軸の系

図2 単純支持はり
<解析結果>
(1)単純支持はりでの解析
まず、単純支持はりに対して、ROBPACSの振動解析を実施します。
ROBPACSでは軸受部の支持剛性を3種類から選択できます(「製品案内」のページを参照ください)。ここでは、この機能を用いて、支持剛性の値を非常に大きくするために、外部ファイルから軸受剛性マトリックスを読み込みました。支持剛性の値として、ラジアル方向、アキシャル方向に1.0E20(N/mm)を設定し、傾斜方向の剛性は0としました。(アキシャル剛性はマトリックスを解くために設定しているもので、結果には影響しません)。軸受部減衰は0、はりの減衰は減衰比で0.0001と設定しました。
ROBPACSによる解析結果を図3に掲載します。図は加振振動数を横軸に、加振点の振幅と位相を縦軸にとっています。なお、ROBPACSは振動数スイープを行い、共振点が見つかると、増分間で共振振動数を推定し、推定した振動数で加振します。図3の各ピーク値はその推定値です。
下に尖ったピークは、加振点が振動の節となるモードを表しています。


図3 単純支持はりの応答(ROBPACSによる解析結果)
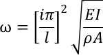
図3の結果を検証するために、単純支持はりの固有振動数と比較します。単純支持はりの固有角振動数は次式で表されます。
(1)
i:次数 l:スパン
E:ヤング率 I:断面二次モーメント
ρ:密度 A:断面積
図3の共振振動数と式(1)による固有振動数を表1で比較します。なお、7818Hz, 25528Hzは振幅が小さくなる振動です。
| 1次 | 2次 | 3次 | 4次 | 5次 | |
| 固有振動数 | 1256 | 5024 | 11303 | 20094 | 31397 |
| ROBPACS | 1262 | 7818 | 11355 | 25528 | 31593 |
| 比 | 0.995 | 0.643 | 0.995 | 0.787 | 0.994 |
1次、3次、5次は固有振動数と良く一致していますが、2次、4次はあまり一致していません。この原因は、2次、4次の固有振動では、加振点が節となる振動をするため(図4参照)、固有振動モードでは振動しない点が、強制振動により振動させられていることになり、固有振動数と少し違う振動数で共振すると考えられます。

図4 固有振動モード
(2)軸受支持剛性と共振振動数の関係
次に、共振のレベルが大きい1262Hzの振動に着目し、支持軸受の剛性を変化させて、系の挙動がどのように変化するかを調査しました。結果を図5に示します。図では支持軸受の剛性を、凡例にあるように6種類変化させています。

図5 軸受部傾斜角の違い
図5から、支持軸受の剛性が低下するにつれて、共振振動数が低下することがわかります。
(3)実際の支持軸受剛性を用いた解析
続いて、静解析で得られた実際の軸受剛性を用いて、系の応答を調査します。図6は図3に対応して50000Hzまで調査したものです。軸受剛性が低下しているため、図3と比較して、共振振動数が低下していることがわかります。

図6 実際の軸受剛性を使用したときの系の応答
図7は1次の振動モードに着目して、実際の支持剛性(図6)と、支持軸受の剛性が非常に大きいときの応答結果(図3)とを比較して掲載しています。

図7から、実際の共振振動数ははりの固有振動数より132(=1262-1130)Hz低いところにあることがわかります。これは図5の現象と一致します。
(参考)
上記事例では中央部を加振しているため、アキシャル方向の振動は発生しませんでしたが、中央から20mmずれた位置を加振すると、下図のようになります。(加振点だけを変更したもので、支持軸受のバネ剛性などは同じです)

図8 アキシャル方向振動
中央部を加振したときはアキシャル方向の振動は、ほぼ0ですが、20mmずれた位置を加振すると1967Hzに共振が見られます。これは軸の質量を同じ剛性の2個のアキシャル方向バネ(支持軸受)で支持したときの、いわゆるバネ-マス系の固有振動数2179Hzとほぼ一致します。完全な一致とならないのは、軸受剛性マトリックスのラジアル変位によるアキシャル剛性、即ち(∂Fa/∂δr)成分によるバネの影響と考えられます。
なお、軸受剛性マトリックスの対角項だけを使用した場合、アキシャル方向に振動が発生しないため、図8のような共振現象は生じません。
〒438-0088
静岡県磐田市富士見台4−8
TEL 0538-33-3239
FAX 0538-34-9094
e-mail info@korogari-kaiseki.com