最適クラウニングモジュールは、1つの物体(ころ/軌道輪)の下記クラウニングタイプに対して、最適クラウニング形状を探索します。「転がり疲労寿命計算モジュール」を駆動し、多点LP法による転がり疲労寿命値を自動で計算します。
計算可能クラウニング
(0)クラウニングなし (下記複数円弧クラウニングと組み合わせて使用します)
(1)フルクラウニング
(2)円弧状カットクラウニング
(3)直線状カットクラウニング
(4)対数クラウニング
上記クラウニングに対して、下記「複数円弧クラウニング」を設定することも可能です。
(1)複数円弧クラウニング2個(下図(a)参照)
(2)複数円弧クラウニング4個(下図(b)参照)
下図(b)の円弧2、円弧3については直線部長さと連動して移動させることも可能です
(但し、NOCPACのメッシュは移動しません)


(a) 円弧状カットクラウニング (b)円弧状カットクラウニング
+複数円弧クラウニング2個 +複数円弧クラウニング4個
図1 複数円弧クラウニングの例
目的関数は、下記5種類の中から選択できます。
(1)転がり疲労寿命値最大化(多点LP法使用)
(2)接触面圧の分散値最小化
(3)接触面圧平均値からの差の最小化
(4)接触面圧最大値の最小化
(5)表面下剪断応力τyz最大値の最小化
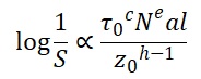
(6)寿命因子(τ0C/z0h-1)の最大化
(7)等価荷重(接触面圧から計算した寿命計算用荷重)の最小化
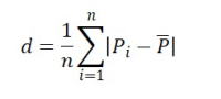
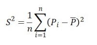
(補足1)「接触面圧の分散値」と「接触面圧平均値からの差」

接触面圧の分散値 接触面圧平均値からの差
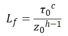
(補足2)「寿命因子」Lfは、LP理論の剪断力とその深さを取り出したものです

寿命因子 寿命計算式(LP理論)
極値探索手法は下記3種類(勾配法の分類を入れると5種類)から選択できます。
(1)指定領域探索法(いわゆる絨毯爆撃です)
(2)Hesse行列を用いたニュートン法
(3)勾配法 [通常勾配法、修正勾配法(幣房オリジナル)、最急降下法]
〒438-0088
静岡県磐田市富士見台4-8
TEL 0538-33-3239
FAX 0538-34-9094
e-mail info@korogari-kaiseki.com