多点LP法は、全世界で使用されているLundberg-Palmgrenの転がり疲労寿命理論(LP理論)に基いた寿命理論で、エッジロード発生時にもLP理論が使用できるように、LP理論を拡張した理論です(*3)。多点LP法では、表面下剪断応力分布のうち、剪断応力のピークが発生する位置が破損の起点になると考え、これらの複数個あるピーク位置(破損起点)での転がり疲労寿命をそれぞれ算出し、これらの寿命を統計的に合成して、全体寿命を算出します。LP理論では、1つの剪断応力ピーク値だけを取り扱っていますが、多点LP法ではこれを複数個に拡張したものです。
(*3)" Improved Method of Roller Bearing Fatigue Life Prediction Under Edge Loading Conditions ", H. Nagatani, Tribology Transactions, Vol.53, Issue5, pp.695-702 (2010)
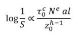
参考までに、多点LP法の基礎となるLP理論の寿命計算式を以下に記します。

S:材料がN回の負荷に耐えられる確率
N:繰返負荷回数
τ0:剪断応力振幅最大値
z0:τ0の深さ
a:接触楕円長軸半幅
l:軌道円周方向長さ
(注1)定格荷重修正係数(いわゆるbm係数)は考慮していません。このため、寿命値は小さく計算されます。
(注2)多点LP法は表面下応力の応力集中部が不明瞭な問題(ほぼ均一な面圧時)には対応できません。
〒438-0088
静岡県磐田市富士見台4-8
TEL 0538-33-3239
FAX 0538-34-9094
e-mail info@korogari-kaiseki.com