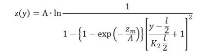
幣房で取り扱う対数クラウニング曲線は、軸方向位置をyとして、次式で表されます(*1)。
(1)
![]()
:ころ有効長さ
E:ヤング率
ν:ポアソン比
Q:ころ荷重
Zm:ころ有効長さ端部でのドロップ量

(*1)藤原宏樹,山内和人, 「円筒ころ軸受における部分円弧クラウニングと対数クラウニングの実験的比較」機論, 74巻, 745号, 2008, 216-222.
式(1)から、対数曲線は 荷重Qを仮定して、K1,K2,Zmの3つのパラメータ表現されていることがわかります。
K2は直線部長さを決定しており、K2=0.5なら、ころ有効長さの半分が直線、K2=1なら、直線部がない全領域対数クラウニングのころになります。
K1は、K2とZm(ころ有効長さ端部でのドロップ量)で決定された両端の2点を通る対数曲線形状を与えていると言えます。
〒438-0088
静岡県磐田市富士見台4-8
TEL 0538-33-3239
FAX 0538-34-9094
e-mail info@korogari-kaiseki.com