すべり率と摩擦係数の関係(Liu and Yangとの比較) (つづき)
このページでは、摩擦係数が図6のようなピーク特性を有する原因について、TEHLACの出力結果を用いて、解説します。なお、以下では、図6の特性の重要ポイントである、すべり率
ξ=0,0.15,1.5 の3つの状態について取り上げ、解説します。

(a)文献のFig.5(e) (b)TEHLAC計算結果
図6 接触面圧計算結果(再掲)
摩擦係数計算方法
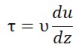
TEHLACで出力される摩擦係数は、次式で計算されています。
(1)
μ:摩擦係数
F:外力
τ:X方向剪断力
Z:油膜厚さ方向座標(油膜厚さ=h)
式(1)は物体表面(Z=0またはh)で発生する剪断力を計算領域全域で積分し、摩擦力を算出し、その値を法線荷重Fで割ったものが摩擦係数であることを表しています。
ころ表面の剪断力の分布を図7に示します。

(a)ξ=0 (b)ξ=0.15

(c)ξ=1.5
図7 物体表面の剪断力分布
(a)(b)(c)3つの図で大きく異なるのは、剪断力の大きさです(目盛に注意下さい)。剪断力グラフの目盛最大値はξ=0.15、1.5、0の順になっており、図6の摩擦係数の大きさの順になっていることがわかります。
また、ξ=0では前方領域(x<0)で負の剪断力(図の青色部)が比較的顕著で、これが正の剪断力と打ち消しあって、摩擦力が小さくなっています。一方、他のすべり率では目盛の大きさに埋もれていますが、剪断力が負であることを示す青色が前方領域に存在していますが、接触領域で発生する正の剪断力の方が大きくて、大きな摩擦力(剪断力)が発生していると言えます。
剪断力計算方法
次に、摩擦係数特性に大きく影響している剪断力について解説します。ニュートン流体の場合、剪断力は次式で表されます(TEHLACで取り扱っているのはEyring粘性ですが、簡単化のため、ニュートン流体で解説します)。
(2)
ν:粘度
u:x方向速度
物体表面での剪断力は、物体表面での潤滑油の粘度νとZ方向(油膜厚さ方向)速度勾配du/dzに影響されることがわかります。以下、これらについて解説します
(a)速度勾配
すべり率が変化すると、まず直接影響を受けるのは物体表面の速度です。このときの物体表面での速度勾配は、物体表面のZ方向速度分布によって与えられるため、以下では速度分布を調査し、速度勾配を求めます。
図8は、前方領域であるX=-0.7,Y=0の位置と、油膜中央位置であるX=0,Y=0の位置について、TEHALCから出力されたZ方向(油膜厚さ方向)の速度分布を示したものです。Z=1がころ表面、Z=9が平面の表面を表しています。

(a)ξ=0, x=-0.7, y=0 (b)ξ=0, x=0, y=0

(c)ξ=0.15, x=-0.7, y=0 (d)ξ=0.15, x=0, y=0

(e)ξ=1.5, x=-0.7, y=0 (f)ξ=1.5, x=0, y=0
図8 X方向速度分布(Zは油膜厚さ方向の分割点)
図の左側は、前方領域である X=-0.7,Y=0 の位置のX方向速度uの分布です。油膜中央部では、事例t2と同様、逆流が発生していることがわかります。物体の表面速度によって駆動された潤滑油は物体表面とともに移動しますが、広いところから狭いところへ流入するため、すきまに入りきれず、油膜厚さ方向の中央部で逆流してしまいます。
この逆流によって、式(2)の物体表面でのdu/dzの値は、負の値になっていることが読み取れます。du/dzの近似値は、Z方向分割点位置=1または9での速度と、分割点位置=2または8での速度との差を両者の距離h/9で割ったものになります(これを「速度差」と呼ぶことにします)。すべり率による油膜厚さ
h の変化は小さいと考えられるため、速度勾配du/dzは速度差で評価でき、速度差を計算すると、図9(a)のようになっていることがわかります。

(a)前方領域(x=-0.7, y=0) (b)油膜中央部(x=0, y=0)
図9 物体表面でのX方向速度差(Zは油膜厚さ方向の分割点)
図9(a)より、前方領域では、速度差は負の値として、ξ の異なる3者で発生していることがわかります。また、すべり率とともに速度差の絶対値は低下していることがわかります。このため、粘度の影響がないとすると、式(2)より、剪断力は
ξ とともに小さくなっていくと考えられます。
次に、油膜中央部である X=0,Y=0 の位置で比較します(図8の右側グラフ参照)。物体表面での速度勾配はほぼゼロまたは正の値を示しており、すべり率
ξ が大きくなるにつれ、物体表面での速度勾配は大きくなっていることが推測できますが、計算すると、図9(b)のようになり、ξ=0, 0.15,
1.5でそれぞれ、-0.00021, 0.0259, 0.144となっています。即ち、すべり率とともに速度差は増加しています。
上記のように、X=0, Y=0での、物体表面の速度勾配は、すべり率によって大きくなるという単調増加であり、これだけでは、図6のピークが発生する状況は説明できないことがわかります。次に、粘度を調査します。
(b)粘度
TEHLACのTEHL解析では、粘度はROELANDSの式で計算しています。ROELANDSの式は次式で表されます。
(3)
:無次元粘度
η0:入口部での潤滑剤の粘度[Pa・s]
p:圧力 [Pa]
t:潤滑剤の温度 [K]
t0:入口部での潤滑剤温度 [K]
z0:定数(近似値は、0.6)
s0:定数(近似値は、1.1)
一般に、すべり率によって面圧 p はあまり影響されないため、式(3)では温度変化が重要になります。油膜内部の平均温度Tm(油膜厚さ方向の平均値)は、TEHLACから得られ、Y=0の位置でプロットすると、図10のようになっています(目盛に注意)。

(a)ξ=0, y=0 (b)ξ=0.15, y=0

(c)ξ=1.5, y=0
図10 Y=0の位置での無次元平均温度Tm
図より、すべり率 ξ とともに X=0, Y=0 の位置で、温度が上昇しており、このため、粘度はすべり率 ξ とともに低下することが推測されます。X=0, Y=0位置でのX方向粘度のZ方向(油膜厚さ方向)分布は、TEHLAC出力より図11のようになります。

(a)ξ=0, X=0, Y=0 (b)ξ=0.15, X=0, Y=0

(c)ξ=1.5,X=0, Y=0
図11 X=0, Y=0の位置でのX方向無次元粘度
図11より、ξ=0、0.15、1.5の物体表面(Z=1)での粘度は、約289、256、38 [Pa・s]であり、ξ とともに低下していることがわかります。
(c)粘度×速度差
式(1)より、剪断力は、物体表面の粘度と速度勾配の積であり、概略の傾向として、図7より、剪断力は油膜前方部ではなく、油膜中央部であるX=0,Y=0の位置近傍で大きくなっていることがわかりました。また、X=,Y=0位置での、速度勾配の代用値である速度差は
ξ とともに増加し、粘度は ξ とともに減少することがわかりました。そこで、X=,Y=0の位置での速度差(図9:-0.00021, 0.0259,
0.144)と粘度(図11:289、256、38)の積をとってみると、下図のようになり、図6同様、ξ=0.15でピークが得られました。この値は、剪断力の代用値であると考えられるので、剪断力のピーク発生メカニズムが解明できたと考えます。

図12 X=0, Y=0の位置での粘度×速度差
以上のように、TEHLACの出力から、摩擦係数についての考察や分析が可能になります。
〒438-0088
静岡県磐田市富士見台4−8
TEL 0538-33-3239
FAX 0538-34-9094
e-mail info@korogari-kaiseki.com